SPRneo instrument

FULLY AUTOMATED CLASSICAL SPR

FOR HUMANS, SYSTEMS, AND MACHINES

  • No more late nights at the lab.
  • No more missed lunches trying to optimize an assay.
  • No-fuss fluidics.
  • No need to be an expert or go to SPR camp to generate high quality data.
  • Machines can design and run a classical SPR assay - an industry first.
  • You have a right to repair your own device.
Neo iso shot

INNOVATIONS

BUILT FOR THE NEXT DECADE OF BREAKTHROUGHS

  • CONNECTED - work with your device and data from anywhere with a network connection.
  • SCALABLE - a single device suits most labs, but multiple devices can swarm large assays from a single experiment design.
  • ACCESSIBLE - fairly priced to suit any labs needs, no need to be an expert user.
  • PROGRAMMABLE - connect to your device or its data layer via Python or our open REST API.
  • FULL AUTOMATION SUPPORT including dynamic onboard liquid handling and decapper for tooled caps and direct integration with automated sample handling and storage systems.

LEFT-SHIFT ANALYTICS AND REAL-TIME, DYNAMIC ANALYSIS

Left shift analytics

HIGH CONFIDENCE BIO-SPECIFIC INTERACTION ANALYSIS

CLASSICAL SPR, REIMAGINED

  • CLASSICAL SPR - no compromise on data quality.
  • FULL APPLICATION LIBRARY - out of the box utility.
  • LAB PARTNER ON-BOARD - prepares samples on the fly and optimizes assays for you.
  • DROP IN PLACEMENT - use existing protocols, reagents, and consumables, including Biacore™ Series S style chips from Xantec.
  • RIGHT TO REPAIR - robust, user serviceable microfluidics for the highest quality interaction performance.

FUNCTIONAL SPECIFICATION

KD 1E-3 to 1E-12 M
ka Proteins < 3 E9 M-1 s-1, SM < 5 E7 M-1 s-1
kd 1 E-5 to 1 s-2
Molecular weight No lower limit for organic molecules

HARDWARE SPECIFICATION

GOLD STANDARD DATA QUALITY, 1 ON 7 FLOW CELL

Needles 1 Max injection volume 1 mL
Flowcells 1 Sample loops 2
Flow paths 7 Buffers 1 mL
Flow cell volume 50 nL Bulk reagents 1 mL
Flow rate 5-300 µL/min SNR 1 mL
Sample zone Ambient
8 °C with chiller
Reaction zone 25-37 °C
4-37 °C with chiller
H x W x D 535 x 250 x 530 mm Data rate 1-50 Hz
Sensitivity 0.02 RU RMSD
Neo front view
Neo side view
Neo back view

A NEW WAY OF WORKING

Web interface screenshot DESIGN EXPERIMENTS, MONITOR RUNS, AND WORK WITH RESULTS FROM ANYWHERE WITH A BROWSER
Web interface screenshot KEEP UP WITH YOUR DEVICES VIA MESSAGE APPS FOR UPDATES AND SECURE DATA LINKS

A SCALABLE APPROACH

IN THE LAB, WORK WITH THE MACHINE

A single device can handle most workloads, but multiple devices can swarm a large experiment in parallel from a single assay design.

Device cluster

EXAMPLE WORKLOADS ON A DEVICE CLUSTER

DEVICE 1 'SPOCK'

EXPERIMENT 1
METHOD 1/3

EXPERIMENT 1
SCREEN

DEVICE 2 'MCCOY'

EXPERIMENT 1
METHOD 2/3

EXPERIMENT 2
OPTIMIZATION

DEVICE 3 'KIRK'

EXPERIMENT 1
METHOD 3/3

EXPERIMENT 3
FINAL CHARACTERIZATION

ADVANCED EXPERIMENTAL AUTOMATION WITHIN A SINGLE DEVICE

Queue up experiments and leverage real-time optimization and emergent event handling within a single device setup.

Device cluster

ON-BOARD LAB PARTNER

Our autosampler is a fully featured sample handler. It is compatible with 2 MTP formatted plates. With an onboard de-capper, it can also accomodate tooled caps (Azenta, LVL) for seamless integration into automation environments. It can cap/de-decap, pierce, mix, dilute, elute, transfer, and prepare samples dynamically.

Combined with runtime analytics, the machine can perform and optimize experiments on the fly.

For example, based on a quick injection of an analyte from a single tube, the machine can determine if a reaction is present and what the apparent kinetics are. It can then prepare a concentration series to perfectly bracket the KD for a beautiful sensorgram. It can select from available regeneration solutions, or prepare fresh chips on the fly in the event activity is lost or a sticky compound fouls the surface.

Let the machine do the work for you, while maintaining clear traceability on all decisions made within user defined boundaries.

autosampler
  1. Integrated de-capper - compatible with tooled hard-caps common with automation, for unified sample containment. USER SERVICEABLE
  2. Needle can pierce septa and standard MTP plate foils. We support on-the-fly sample transfer and dispensing from container max down to 0.5 µL. USER SERVICEABLE
  3. Easily accessible needle wash station. USER SERVICEABLE
  4. 2 nest positions, compatible with MTP 96-300µL, 96-1000µL, 96-2000µL, 384-80µL, 384-200µL, Azenta 0.5mL, Azenta 0.9mL, Azenta 2.6 mL.
  5. Optionally controlled sample temperature (with external chiller, 8 °C).
  6. Cameras and illumination onboard to help with traceability (code scanning), process validation, reliability, and support. Live feeds are accessible via the web app and on the device screen.
xxxx

EXAMPLE DATA

EXAMPLE KINETIC SCREENING RESULTS

Running buffer: 1X HBS +EP +2% DMSO

Interaction matrix: [24 compounds] x [1 target protein] x [1 initial concentration, up to 6 if a hit] x [1 buffer condition, 1X HBS +EP +2% DMSO]

Interaction sequence: [30 s BASELINE] + [60 s ASSOCIATION] + [180 s DISSOCIATION]

Blank frequency: AFTER each UNIQUE ANALYTE

Activity queue: [CONDITIONING], [IMMOBILIZATION], [WARMUPS], [KINETIC SCREENING]

System setup: Nest 1 = Azenta 48 rack, reagent stocks and compound stocks
Nest 2 = empty 96 well plate

Hits are validated by signal level (stoichiometrically relevant and above 10% maximum response) and fit quality.

Once confirmed, additional concentrations are run to generate complete screening sensorgrams up to 6 points in a 3 fold dilution series prepared by the device, on-the-fly.

Further criterion can be defined for screening, including 'ligand efficiency', non-stoichiometric behaviors (based on response), and similar tests against up to 5 additional controls or target variants.

For simplicity, we focused only on signal levels and binding kinetics, letting the device do all the liquid handling and analytics required.

Primary screen results
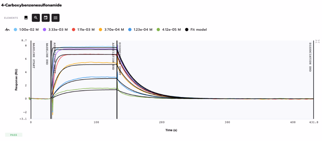
AUTONOMOUS KINETIC CHARACTERIZATION OF HITS

@ 25 °C, on 2150 RU of immobilized CAII, 6-point 3-fold serial dilutions using 100 µM stocks (45 µM starting concentration BS and CBS, 100 µM start for Sulpiride).

Kinetic characterization 1 Kinetic characterization 2 Results table

ADDITIONAL DATA

Additional data on a lower density surface, ~5 RU RMax

Additional data 1 Additional data 2

Example of stability over a 3600 s dissociation, and our one-click export to your favorite analysis tool.

Export tool screenshot

PROGRAMMATIC ACCESS TO DEVICE, CLOUD, AND DATA LAYER

API code example